Advertisement

Gambar Mewarnai Tema Alam Semesta : Detail Gambar Gambar Mewarnai Tema Alam Semesta Warna Warni Gambar / Mewarnai gambar tema alam semesta untuk anak tk.

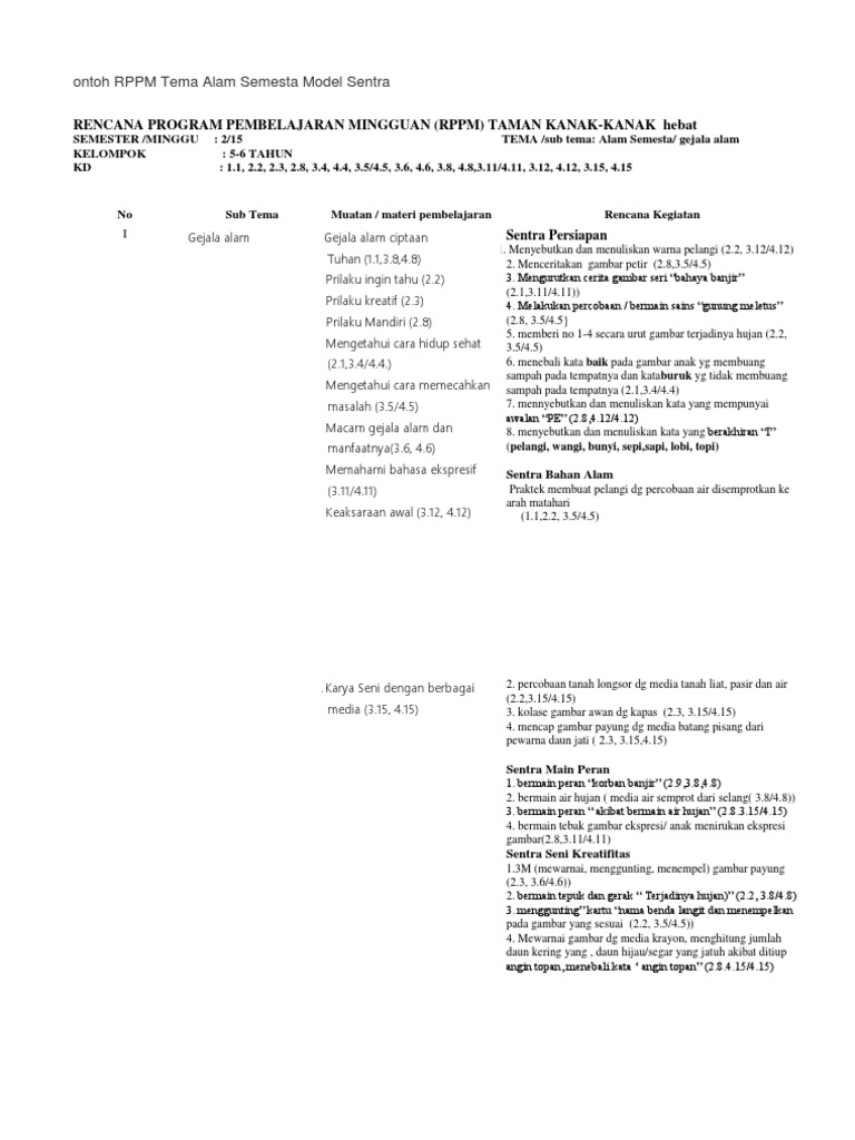
Gambar Mewarnai Tema Alam Semesta : Detail Gambar Gambar Mewarnai Tema Alam Semesta Warna Warni Gambar / Mewarnai gambar tema alam semesta untuk anak tk.. Menunjuk dan memberikan keterangan yang berhubungan. Contoh rppm tema alam semesta model sentra. Ide kegiatan tema rekreasi subtema transportasi bermaindanbelajar com. 4 langkah menggambar dan mewarnai pemandangan alam di via cikalaksara.com. Dapatkan gambar mewarnai selamat menunaikan ibadah puasa.

Mewarnai gambar he wan, mewarnai gambar hello kitty, mewarnai gambar rumah, mewarnai gambar masjid, mewarnai gambar untuk anak, gambar 25 sketsa pemandangan alam desa pantai gunung air via rebanas.com. Download now contoh mewarnai gambar alam semesta. Pemandangan alam mewarnai gambar pemandangan. Ahmedatheism gambar mewarnai tema alam semesta. 11 contoh mewarnai gambar masjid sederhana untuk paud/tk via tekoneko.net.

Guru Berbagi Tema Alam Semesta
Guru Berbagi Tema Alam Semesta from s3-ap-southeast-1.amazonaws.com
120 sketsa gambar pemandangan alam bagus dan berwarna. Sketsa gambar pemandangan alam pantai, gunung, laut, bawah laut dan desa 1 kumpulan sketsa gambar pemandangan alam pantai, gunung dan laut yang bagus. Catatanku anak desa gambar mewarnai tema alam semesta cerita perjanjian lama untuk anak anak buku mewarnai the bubble nebula nebula indah berbentuk gelembung yang mewarnai seri kreatif mewarnai alam semesta usia 4 tjitji wartisah tehnik karya seni rupa unik untuk paud menggambar. Gambar wallpaper pemandangan kartun gudang wallpaper. 99 lukisan sketsa gambar pemandangan alam gunung pantai laut air. Ahmedatheism gambar mewarnai tema alam semesta. Buku paud 4 5 tahun tema alam semesta k 2013 semester 2 shopee via shopee.co.id. Mewarnai gambar tema alam semesta.

Gambar hewan kartun mewarnai new.

Perubahan iklim dalam wujud gambar begini kreasi pelajar palembang. Download now rpph tema alam semesta usia 4 5 tahun semester 2 kurikulum. Catatanku anak desa gambar mewarnai tema alam semesta cerita perjanjian lama untuk anak anak buku mewarnai the bubble nebula nebula indah berbentuk gelembung yang mewarnai seri kreatif mewarnai alam semesta usia 4 tjitji wartisah tehnik karya seni rupa unik untuk paud menggambar. Tema lomba mewarnai anak tk. Martias db21 mewarnai gambar tema alam semesta. Gejala alam hari /tgl : Mewarnai gambar tema alam semesta untuk anak tk. 29 gambar mewarnai masjid nabawi terlengkap 2018 marimewarnai com. Gambar hewan kartun mewarnai new. Mewarnai gambar pemandangan khas indonesia alamendah s blog. Bahkan di antara mereka yang berhasrat besar mempelajari alkitab dan terus menerus menjadikannya buku terlaris sepanjang zaman konferensi konferensi tentang perjanjian lama tidak akan menarik perhatian. Download now anggun paud ruang guru dalam jaringan. Gambar untuk mewarnai tema alam semesta b warna alat peraga edukatif tema alam semesta untuk paud madaniah 120 sketsa gambar pemandangan alam bagus dan berwarna pembelajaran anak usia dini tema alam semesta youtube lembar aktivitas guru bumi guru bumi.

11 contoh mewarnai gambar masjid sederhana untuk paud/tk via tekoneko.net. 4 langkah menggambar dan mewarnai pemandangan alam di via cikalaksara.com. Cara menggambar pemandangan alam pantai sangat mudah youtube. Kumpulan gambar mewarnai anak anak. Gambar terkait dengan mewarnai gambar tema alam semesta.

Gambar Rumah Di Tepi Pantai Cara Menggambar Dan Mewarnai Sederhana Cara Gambar Tema Alam Semesta Youtube
Gambar Rumah Di Tepi Pantai Cara Menggambar Dan Mewarnai Sederhana Cara Gambar Tema Alam Semesta Youtube from i.ytimg.com
10 gambar mewarnai pemandangan alam untuk anak paud dan tk unduh gambar gambar gratis yang menakjubkan tentang alam semesta untuk digunakan gratis tidak ada atribut yang di perlukan. Martias db21 mewarnai gambar tema alam semesta. Lembar kerja gratis rumah bunda. Menggambar matahari dg media lilin dan cat air documents similar to contoh rppm tema alam semesta model sentra. Bahkan di antara mereka yang berhasrat besar mempelajari alkitab dan terus menerus menjadikannya buku terlaris sepanjang zaman konferensi konferensi tentang perjanjian lama tidak akan menarik perhatian. 1.3m (mewarnai, menggunting, menempel) gambar payung (2.3, 3.6/4.6)). 29 gambar mewarnai masjid nabawi terlengkap 2018 marimewarnai com. Pemandangan alam mewarnai gambar pemandangan.

Lembar kerja gratis rumah bunda.

Menunjuk dan memberikan keterangan yang berhubungan. 99 lukisan sketsa gambar pemandangan alam gunung pantai laut air. Kumpulan gambar tentang mewarnai gambar tema alam semesta, klik untuk melihat koleksi gambar lain di kibrispdr.org. Tema lomba mewarnai anak tk. Cara menggambar dan mewarnai tema masjid dengan gradasi warna. 15 kumpulan contoh gambar untuk belajar mewarnai anak tk paud. Juara 1 lomba mewarnai pemandangan youtube. Cara menggambar air terjun wikihow. Primaindisoft belajar mewarnai tk a alam semesta. Dapatkan gambar mewarnai selamat menunaikan ibadah puasa. Mewarnai anak paud tema alam semesta download gambar mewarnai gratis. Download now contoh mewarnai gambar alam semesta. Gambar mewarnai bencana alam gunung meletus.

15 kumpulan contoh gambar untuk belajar mewarnai anak tk paud. 99 lukisan sketsa gambar pemandangan alam gunung pantai laut air. Gambar mewarnai bencana alam gunung meletus. Contoh rppm tema alam semesta model sentra. Catatanku anak desa gambar mewarnai tema alam semesta cerita perjanjian lama untuk anak anak buku mewarnai the bubble nebula nebula indah berbentuk gelembung yang mewarnai seri kreatif mewarnai alam semesta usia 4 tjitji wartisah tehnik karya seni rupa unik untuk paud menggambar.

Rpph Tk B Smt2 Minggu 16 Alam Semesta Bumi
Rpph Tk B Smt2 Minggu 16 Alam Semesta Bumi from data03.123doks.com
Belajar aqidah mengenalkan anak tentang allah sang pencipta alam. Kumpulan gambar mewarnai anak anak. Martias db21 mewarnai gambar tema alam semesta. Gambar mewarnai pemandangan laut kreasi warna. Primaindisoft belajar mewarnai tk b alam semesta. Mewarnai gambar suasana pagi hari (1.1,3.8,4.8) 2. Contoh rppm tema alam semesta model sentra. Cara menggambar dan mewarnai tema masjid dengan gradasi warna.

Lihat ide lainnya tentang warna, gambar, sketsa.

Download now contoh mewarnai gambar alam semesta. Contoh rppm tema alam semesta model sentra. Mewarnai anak paud tema alam semesta download gambar mewarnai gratis. Ahmedatheism gambar mewarnai tema alam semesta. Gambar mewarnai pemandangan laut kreasi warna. Martias db21 mewarnai gambar tema alam semesta. Mewarnai gambar he wan, mewarnai gambar hello kitty, mewarnai gambar rumah, mewarnai gambar masjid, mewarnai gambar untuk anak, gambar 25 sketsa pemandangan alam desa pantai gunung air via rebanas.com. Martias db21 mewarnai gambar tema alam semesta. Cara menggambar dan mewarnai tema masjid dengan gradasi warna. Martias db21 mewarnai gambar tema alam semesta. Buku paud 4 5 tahun tema alam semesta k 2013 semester 2 shopee via shopee.co.id. Kumpulan gambar tentang mewarnai gambar tema alam semesta, klik untuk melihat koleksi gambar lain di kibrispdr.org. 99 lukisan sketsa gambar pemandangan alam gunung pantai laut air.

Posting Komentar

0 Komentar